* 문제 링크
https://www.acmicpc.net/problem/11659
11659번: 구간 합 구하기 4
첫째 줄에 수의 개수 N과 합을 구해야 하는 횟수 M이 주어진다. 둘째 줄에는 N개의 수가 주어진다. 수는 1,000보다 작거나 같은 자연수이다. 셋째 줄부터 M개의 줄에는 합을 구해야 하는 구간 i와 j
www.acmicpc.net
문제 내용 요약
N 개의 수가 주어지고, i 번째부터 j 번째 수까지의 합을 출력할건데, ( 1 ≤ N ≤ 100,000 , 각 수는 1,000이하 )
이 i 와 j 입력이 M개 주어진다 .( 1 ≤ M ≤ 100,000 )
접근법 (일단 무작정 더해보기)
누적 합 (Prefix Sum) 의 필요성을 알아보기 위해 무작정 더해보자.
시간을 생각하기 위해서는 가장 tight 한 경우를 생각해야한다.
그리고 보통은 최대로 입력이 많을 때다.
100,000개의 수가 주어졌다고 해보자.
그리고 1번째부터 100,000번째 수까지의 합을 달라고 한다.
10만 개의 수를 다 더하자.
더했나? 만세!
1초는 무슨 0.001초도 안 걸렸을 수도 있겠는데?
자 이제 질문 하나가 끝났다.
또 10만 개 다 더하라네?
어 근데 알고보니 그 질문만 10만 개네?
무려 100억 번의 덧셈을 해야한다. 1초 안에 하기에는 불가능하겠네.
기존에 썼던 답을 또 쓰면 되는거 아닌가?
하지만 얍삽하게도 다른 질문으로 99,999개의 합, 99,998개의 합 이런 식으로 주어지면 어떡하지?
아이고 이걸 어쩌나
그럴 때 필요한게 누적 합(Prefix Sum) 이다.
누적 합 (Prefix Sum)
단순히 배열에 N개의 수를 그대로 저장하는 것이 아니라,
(기본적으로는) 1번째부터 i번째까지의 합을 저장하는 것이다.
그것을 저장하는 것은 별로 문제가 되지 않는다.
모든 합의 범위는 int 범위 내이기도 하고,
s[i] = s[i-1] + t (t : 새로운 입력) 으로 각 수 마다 O(1) 의 시간으로 합을 저장할 수 있다. (s[i] : 1~i번째 수의 합)
어? 그러면 1부터 더하는게 아니면 어떡하죠?
별 문제가 되지 않는다.

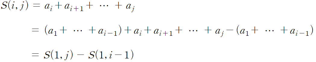
S(i, j) 는 i 번째 수부터 j 번째 수까지의 합이라고 하자.
그렇기 때문에, 위의 식에 의해, S(i, j) = S(1, j) - S(1, i-1),
저장했던 배열로 따지면, s[j] - s[i-1] 과 같다는 것을 의미한다.
굳이 최대 N 번의 덧셈을 해줄 필요없이, 각 질문당 O(1)의 시간복잡도를 가지게 되어,
입력의 O(N), 질문 입력과 답변의 O(M) 되어,
시간복잡도는 O(N+M) 이 된다.
각각 최대 100,000이니, 시간이 매우 여유롭게 될 것이다.
내 코드
#include <iostream>
using namespace std;
int pfs[100030];
int main() {
int n,m,t;
scanf("%d %d",&n,&m);
for(int i=1;i<=n;i++) {
scanf("%d",&t);
pfs[i]=pfs[i-1]+t;
}
for(int i=0;i<m;i++) {
int a,b;
scanf("%d %d",&a,&b);
printf("%d\n",pfs[b]-pfs[a-1]);
}
}
옛날에 짠 코드라 pfs 라는 이름으로 배열을 만들었네
'개발일지 > Problem Solving' 카테고리의 다른 글
| 백준 10828번 - 스택 (Stack) (0) | 2023.03.19 |
|---|---|
| 백준 11047번 - 동전 0 (0) | 2023.02.24 |
| 백준 9663번 - N-Queen (0) | 2023.02.13 |
| 백준 9251번 - LCS (Longest Common Subsequence) (0) | 2023.02.08 |
| 백준 10254번 - 고속도로 (0) | 2023.02.07 |