* 문제 링크
https://www.acmicpc.net/problem/9251
9251번: LCS
LCS(Longest Common Subsequence, 최장 공통 부분 수열)문제는 두 수열이 주어졌을 때, 모두의 부분 수열이 되는 수열 중 가장 긴 것을 찾는 문제이다. 예를 들어, ACAYKP와 CAPCAK의 LCS는 ACAK가 된다.
www.acmicpc.net
문제 내용 요약
문자열이 2개 주어지면 (최대 길이 1000자),
공통된 부분 수열 중 가장 긴 거 길이를 출력해라.
(Longest Common Subsequence = 최장 공통 부분 수열)
접근법
매우 유명한 다이나믹 프로그래밍 문제 2 정도로 보면 된다.
항상 그렇듯이, 무엇을 어떻게 메모할지를 정하는 것이 중요하다.
첫번째 힌트로, 2차원 배열로 메모할 공간을 만들건데
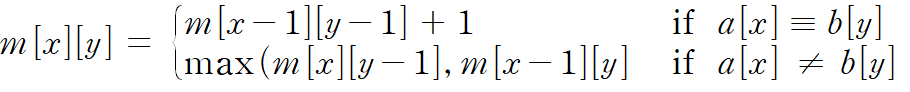
m[x][y] 를 1번 문자열 x번째까지, 2번 문자열 y번째까지로 한정했을 때의 LCS 값으로 두고 해보자.
점화식을 짜볼 수 있겠는가?
어쨌든 이제 점화식을 세우자.
1번 문자열 x번째 문자, 2번 문자열 y번째 문자가 같을 경우에는
m[x][y] 는 m[x-1][y-1] 값에 1을 더한 값이 될 것이다. 그리고, m[i][j] 값의 특성상,
그것보다 큰 값은 존재하지 않는다.
다른 경우에는 어떻게 되는가?
x 또는 y 전 꺼를 비교해야되지 않겠는가?
어떻게 비교하면 되는가?
1번의 x번째, 2번의 y-1번째를 비교하고, 1번의 x-1번째, 2번의 y번째를 비교하면 된다.
그리고 그 중에 더 큰 것을 써먹으면 된다.
이제 정리를 해보자.

이제 구현을 해주면 마무리된다.
메모이제이션도 까먹지 말고.
내 코드
#include <iostream>
#include <algorithm>
using namespace std;
int mem[1005][1005];
string x,y;
int f(int a,int b) {
if(a==-1||b==-1) return 1;
if(mem[a][b]!=0) return mem[a][b];
if(x.at(a)==y.at(b)) return mem[a][b]=f(a-1,b-1)+1;
return mem[a][b]=max(f(a-1,b),f(a,b-1));
}
int main() {
cin>>x>>y;
cout<<f(x.length()-1,y.length()-1)-1;
}
'개발일지 > Problem Solving' 카테고리의 다른 글
| 백준 11659번 - 구간 합 구하기 4 (0) | 2023.02.14 |
|---|---|
| 백준 9663번 - N-Queen (0) | 2023.02.13 |
| 백준 10254번 - 고속도로 (0) | 2023.02.07 |
| 백준 2565번 - 전깃줄 (0) | 2023.02.07 |
| 백준 11054번 - 가장 긴 바이토닉 부분 수열 (0) | 2023.02.05 |